Search ...
Results
November 2016
Home
2016
November
Search ...
Results
Recent Search:
Announcements
November 28, 2016
Search for the NCPAG Deanship (Public Forum)
READ MORE
Announcements
November 25, 2016
RESULTS OF THE MPA and DPA COMPREHENSIVE EXAMINATION and DPA QUALIFYING EXAMINATION
READ MORE
Academic
November 24, 2016
Deadline for Readmission and Extension of Residency for 2nd Semester, AY 2016-2017
READ MORE
Announcements
November 22, 2016
SET answering for the regular semester
READ MORE
Academic
November 21, 2016
Orientation for New Students
READ MORE
Academic
November 21, 2016
Forum with the Prospective MPA/DPA Comprehensive and Qualifying Exam Takers
READ MORE
Announcements
November 17, 2016
APPLICANTS QUALIFIED FOR ADMISSION TO THE DOCTOR OF PUBLIC ADMINISTRATION (DPA) PROGRAM Effective 2nd Semester, AY 2016-2017
READ MORE
Announcements
November 17, 2016
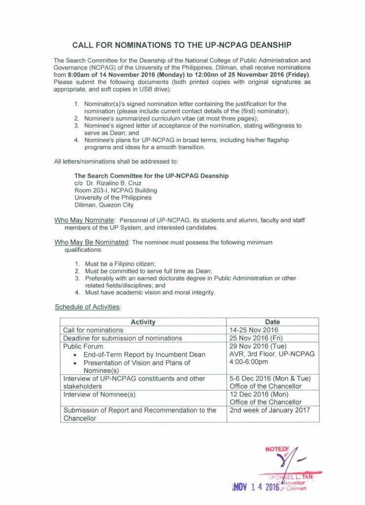
Call for Nominations to the UP-NCPAG Deanship
READ MORE
Announcements
November 15, 2016
APPLICANTS QUALIFIED FOR ADMISSION TO THE MASTER OF PUBLIC ADMINISTRATION (MPA) and DIPLOMA IN PUBLIC MANAGEMENT (DIP PM) PROGRAM Effective 2nd Semester, AY 2016-2017
READ MORE
Announcements
November 9, 2016
DPA APPLICANTS INTERVIEW SCHEDULE (for 2nd Semester, AY 2016-2017)
READ MORE
Announcements
November 3, 2016
AVAILABLE NCPAG SCHOLARSHIP/FINANCIAL INCENTIVE FOR SECOND SEMESTER, AY 2016-2017
READ MORE